Предупреждение: Парадигма патологии, патологизирующая лексика, нейронормативность
Источник: nature
Переводчик: Лида Неумеева
Авторы: Friederike I. Tam, Joseph A. King, Daniel Geisler, Franziska M. Korb, Juliane Sareng, Franziska Ritschel, Julius Steding, Katja U. Albertowski, Veit Roessner & Stefan Ehrlich
Scientific Reports 7, Article number 13611 (2017)
АННОТАЦИЯ.
Привыкание к повторяющимся раздражителям — это одно из важных адаптивных свойств нервной системы. Выяснено, что у людей с РАС в нейронах мозжечковой миндалины не происходит достаточного привыкания к раздражителям. Это может быть причиной социальных дефицитов.
Наше исследование было проведено, чтобы изучить, как происходит процесс привыкания к раздражителям в нейронах миндалины у высокофункционирующих взрослых с РАС. Все участники исследования выполняли задачу на проверку памяти, и при этом им показывались изображения лиц в качестве раздражителей. При этом все участники — и люди с РАС, и контрольная группа — подверглись обследованию с помощью функциональной магнитно-резонансной томографии (ФМРТ).
Чтобы измерить степень привыкания у участников, использовалась методика, проверенная в предыдущих исследованиях. Результаты опыта показали, что у участников из контрольной группы (людей без РАС) время ответа снизилось, а у участников из группы РАС время ответа не снизилось. Также у участников контрольной группы была видна стандартная динамика привыкания в нейронах миндалины, а у участников с РАС она не проявилась.
Это доказывает, что у аутичных людей существуют отличия в процессе привыкания, которые видны и на уровне нейронов, и на уровне поведения. Для более полного понимания этого нужны дополнительные исследования. Но наши данные подтверждают то, что сниженное привыкание в нейронах миндалины может считаться биомаркером аутизма.
ВВЕДЕНИЕ.
Аутизм считается первазивным расстройством, которое характеризуется дефицитами в социальной коммуникации, и ограниченными и повторяющимися действиями и интересами. Признаки РАС проявляются уже при раннем развитии, и влияют на социальную, поведенческую, и другие области функционирования [1]. У людей с РАС, помимо официальных критериев при диагностике, были обнаружены и другие симптомы — например, аномальность в понимании лиц [2,3].
Существует предположение о том, что дисфункция мозжечковой миндалины может являться причиной социальных дефицитов [4]. Есть убедительные доказательства того, что миндалина выполняет основные функции при обработке эмоциональной информации в мозге [5,6]. Например, когда людям показывают изображения лиц, то нейроны в их миндалине активизируются сильнее, чем при показе других визуальных стимулов [6,7]. Если людям надо распознавать эмоции на этих лицах, то нейроны миндалины активизируются ещё больше [8]. Принцип аномалий миндалины при РАС еще не изучен. Были предложены разные объяснения, такие как раннее отклонение при развитии миндалины, которое в дальнейшем влияет на развитие коры мозга [9], или воздействие генотипа на развитие мозга [10].
Авторы других исследований уже пытались измерить величину активации миндалины у людей с РАС [11,12,13,14,15,16]. Но это привело к противоречивым результатам. Поэтому мы пришли к выводу, что динамика активации миндалины — это более важный параметр, чем величина активации [3,17,18].
По определению, привыкание — это уменьшение силы реакции на стимул, если он возникает многократно [19]. При этом уменьшаются и другие параметры реакции, такие как частота реакции и её продолжительность [20]. Привыкание — это одно из важных свойств нервной системы, которое позволяет улучшать внимание к окружающему миру посредством игнорирования известных и несущественных стимулов [20,21].
В других исследованиях уже было доказано, что мозжечковая миндалина человека может привыкать к различным визуальным стимулам, в том числе и к лицам [17,22,23]. Уже исследовано, как происходит привыкание миндалины у людей с РАС, и уже представлены доказательства измененной динамики [3,10,24,25]. Но во всех предыдущих исследованиях, кроме одного, восприятие изображения лиц являлось частью задачи [3,10,24]. Это могло мешать измерению привыкания, потому что по определению некоторых исследователей, привыкание — это уменьшение реакции на стимулы, которые являются несущественными и не относящиеся к задаче [20,21]. Но пока ещё существует слишком мало исследований миндалины у людей с РАС, чтобы делать окончательные выводы [3,25].
Мы провели это исследование, чтобы лучше понять механизмы социальных дефицитов и аномалий в обработке эмоций у людей с РАС. В этом исследовании было изучено привыкание миндалины к раздражителям у высокофункционирующих взрослых с РАС. Для этого были проанализированы данные, полученные с помощью ФМРТ, и с помощью анализа поведения.
Все участники исследования выполняли задачу N-back на проверку памяти, аналогичную той, которая была введена Ладоуцером и др. [26]. При этом им показывались изображения лиц, как раздражители, не относящиеся к задаче. Мы использовали методику, введенную Плихте и др [17,27], чтобы рассчитать степень привыкания. Как мы предсказали, у людей с РАС привыкание будет сниженным или отсутствовать, и это будет видно и по поведенческим данным, и по данным исследования активации нейронов миндалины.
МЕТОДИКА.
Об участниках:
Были набраны 25 взрослых с РАС, и 25 участников контрольной здоровой группы (КЗГ), согласованных по возрасту и полу. Все участники были ознакомлены с протоколом исследования, получившим одобрение наблюдательного совета TU Dresden (протокол зарегистрирован в Управлении по защите прав человека при проведении исследований, под номером EK 14012011). И все участники дали письменное информированное согласие.
Участники были собраны по следующим критериям: Возраст от 18 лет и старше, IQ больше 85, и официальный диагноз у людей с РАС. Из контрольной группы были исключены участники, у которых в истории были психические заболевания. Четыре участника были исключены во время исследования из-за IQ меньше 85, и из-за чрезмерных движений при сканировании. Поэтому в исследовании использованы данные 22 участников из группы РАС (19 мужчин, 3 женщины, 21-55 лет), и 24 участников из группы КЗГ (19 мужчин, 5 женщин, 23-56 лет). Участники с РАС были найдены через специализированную клинику и местные группы самопомощи. Все данные, полученные при исследовании, обрабатывались с помощью защищенной системы на веб-платформе REDCap [28].
О клинических данных:
Диагнозы РАС были подтверждены посредством графиков диагностики ADOS. Также все участники прошли тесты на IQ (коэффициент интеллекта), AQ (коэффициент аутистического спектра), EQ (коэффициент эмпатии), и SQ (коэффициент систематизации). Для участников с РАС использовался адаптированный немецкий тест Векслера [32], и для участников КЗГ использовался сокращенный тест Векслера [33].
Подробности эксперимента:
Во время ФМРТ участники выполняли адаптированную задачу N-back, аналогичную той, которая была введена Ладоуцером и др. [26]. В качестве отвлекающих изображений участникам показывались лица с тремя разными выражениями (счастливые, сердитые, нейтральные), а также изображения, искаженные по Фурье. Пример задачи показан на рисунке 1.
Весь эксперимент включал в себя 15 блоков, в каждом из которых у участников было 25 попыток. Длительность одного блока составляла 50 секунд, и длительность перерыва между блоками = 15 секунд. Каждый из типов раздражителей (счастливые, сердитые, нейтральные лица, искаженные изображения) появлялся в псевдослучайном порядке, чтобы ни один из раздражителей не был показан дважды подряд. Фотографии лиц были взяты из Каролинского набора эмоций [34]. Время показа изображения составляло 750 мс, и интервал между изображениями = 750 мс.

Рисунок 1: Пример задачи 2-back, где в качестве раздражителей показаны счастливые лица. На практических занятиях участникам были даны инструкции о том, как выполнять задачи 0-back и 2-back. При задаче 0-back участники должны нажать на кнопку, когда увидят определенную букву. При задаче 2-back участники должны нажать на кнопку, когда увидят букву, которую они видели два шага назад. Об отвлекающих изображениях ничего не сообщалось. Во время исследования участникам сообщали перед каждым блоком, будет ли это задача 0-back или 2-back.
Сбор и обработка ФМРТ-данных:
Изображения ФМРТ были получены с использованием сканера Siemens Trio, оснащенного стандартной катушкой. Структурное сканирование мозга выполнялось с помощью быстрой последовательности градиентных эхо-сигналов со следующими параметрами: количество срезов 176, время повторения 1900 мс, время эхо 2,26 мс, угол поворота 9°, толщина среза 1 мм, размер вокселя 1x1x1 мм3, поле зрения (FoV) 256×224 мм2, полоса пропускания 200 Гц/пиксель. Функциональные изображения были получены с помощью эхопланарного градиентного метода со следующими параметрами: наклон 30° к линии AC-PC (чтобы уменьшить выпадение сигналов в орбитофронтальных областях), количество разделов 425, количество срезов 42, время повторения 2410 мс, время эхо 25 мс, угол поворота 80°, толщина среза 2 мм (зазор 1 мм, что дает размер вокселя 3x3x2 мм3), угол обзора 192×192 мм2, полоса пропускания 2112 Гц.
Cтруктурные и функциональные изображения были обработаны с помощью инструментов SPM на платформе Nipype [35]. После этого был создан шаблон DARTEL, включающий в себя изображения всех участников [36]. Все функциональные изображения были скорректированы, чтобы синхронизировать их по времени и по движению. Для этого был использован пакет realign4D [37]. Шесть параметров, описывающих движение тела (x, y, z, шаг, поворот, рыскание), были сохранены, и позже использовались как ковариации, чтобы объяснять дисперсию из-за движения. Размер изображений был привязан к структуре мозга участников, и была произведена их нормализация для создания шаблона DARTEL. После этого все данные были сглажены изотропным 8-мм гауссовым алгоритмом.
Мы оценили качество данных, осматривая снимки вручную, и используя инструменты для обнаружения артефактов. Все снимки, в которых были найдены превышения порога отклонений, или движения более 2 мм в любом направлении, были отмечены как непригодные. В среднем у группы РАС получилось 2.5 (SD=5.5) непригодных снимков на участника, по сравнению с 0,5 (SD=0,8) у группы КЗГ, без существенного различия внутри групп. После исключения непригодных снимков, среднее отклонение у группы РАС стало 0,22 (SD=0,13) по сравнению с 0,16 (SD=0,08) у группы КЗГ, без существенного различия внутри групп.
Анализ ФМРТ-данных:
Для каждого из участников была построена линейная общая модель, чтобы смоделировать отклик нейронов миндалины во время пяти различных событий:
1) Показ нейтральных лиц во время задачи 2-back. 2) Показ счастливых лиц во время задачи 2-back, 3) Показ сердитых лиц во время задачи 2-back, 4) Показ искаженных изображений во время задачи 2-back, 5) Показ искаженных изображений во время задачи 0-back.
Сначала, чтобы проверить различия двух групп на уровне мозга, мы сравнили результаты задачи 2-back с искаженными изображениями с результатами задачи 0-back с искаженными изображениями, и затем сравнили результаты 2-back со всеми типами лиц с результатами 2-back с искаженными изображениями. Различия между группами превысили p<0,05, и это позволяет исключить межгрупповую ошибку.
Чтобы измерить привыкание в нейронах миндалины, мы отметили двухстороннюю область миндалины как регион для анализа. Анатомическая маска миндалины была взята из атласа автоматической анатомической маркировки в системе SPM [38]. Значения активации нейронов, принадлежащих этому региону, снимались с помощью инструментов MarsBar для системы SPM [39].
Для расчета привыкания были построены две линейные модели. Модель 1 — это привыкание ко всем типам изображений лиц. Она была сформирована для каждого участника, чтобы смоделировать активацию миндалины при выполнении всех девяти блоков с лицами. Модель 2 — это привыкание к определенным типам изображений лиц. Она была сформирована для каждого участника, чтобы смоделировать активацию миндалины при выполнении тех трех блоков, при которых показывался этот определенный тип лиц.
Расчет степени привыкания:
Цель исследования состояла в том, чтобы определить степень привыкания у участников, используя данные ФМРТ и поведенческие данные. Для того, чтобы рассчитать степень привыкания у каждого участника, мы использовали регрессионный подход, ранее введенный Плихте и др. Он использовался для ФМРТ-данных в других аналогичных исследованиях [17], и недавно был применен и для анализа поведения [40].
Этот подход основывается на уравнении регрессии Y = bX + a. Коэффициент регрессии (b) показывает степень привыкания. Было доказано, что он зависит от пересечения линии регрессии (а) [17,27], и поэтому был введен индекс привыкания b’, который не зависит от начального отклика. Индекс привыкания определяется по формуле b’= b-c (a-a), где c — это наклон b на a, согласно Плихте [17] и Монтегю [27].
Перед исследованием мы провели тестирование системы, чтобы проверить измерение времени реакции, точности ответов, и ложной тревоги. Во время исследования отфильтровывались все данные, в которых время реакции участников было быстрее 150 мс, или медленнее 1500 мс. (У группы РАС = 0,5%, у контрольной группы = 0%).
Чтобы вычислить b’ для анализа поведения, мы измеряли время реакции участников. Чтобы вычислить b’ для данных ФМРТ, мы измеряли среднее значение реакции в области нейронов миндалины.
Все сравнения проводились по независимым выборкам. Все расчеты осуществлялись с помощью статистических программных пакетов (SPSS, R, или SPM).
Доступность данных:
Все данные, которые были собраны и проанализированы во время этого исследования, можно запросить у авторов в случае необходимости.
РЕЗУЛЬТАТЫ ИССЛЕДОВАНИЯ.
Клинические характеристики участников:
Демографические и клинические характеристики всех участников представлены в таблице 1. Группы не отличались ни по IQ, ни по возрасту. Тесты на AQ, EQ и SQ, пройденные всеми участниками, показали в группе РАС намного больше симптомов, характерных для РАС. Во время исследования четверо из участников принимали препараты.

Таблица 1. Демографические и клинические характеристики участников. ASD (РАС), HC (контрольная группа), IQ (коэффициент интеллекта), AQ (коэффициент аутистического спектра), EQ (коэффициент эмпатии), SQ (коэффициент систематизации)
Результаты анализа поведенческих данных:
Анализ выполнения задачи показал, что обе группы выполнили задачу на память с одинаковыми результатами. Между участниками не было существенных различий по точности правильных ответов. Различные типы изображений лиц (раздражителей) тоже никак не повлияли на результаты.
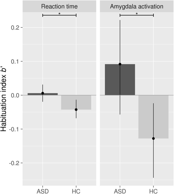
При этом индекс привыкания b’ показал существенное отличие между группами. В группе КЗГ наблюдалось уменьшение времени реакции (b’=0,043), а в группе РАС уменьшение не наблюдалось (b’=0,006). Этот результат остался статистически неизменным и при группировке участников по IQ, и при исключении участников, которые принимали препараты.
Результаты анализа ФМРТ:
У обеих групп были видны ожидаемые эффекты при нагрузке на память и при обработке лиц. При этом между группами не оказалось существенных различий — анализ параметров, полученных из региона миндалины, не выявил различий в этих эффектах между участниками.
При этом, как и в анализе поведенческих данных, индекс привыкания b’ показал существенное отличие между группами. У участников с РАС не было такого же процесса привыкания в миндалине, который был виден у участников КЗГ. Разница привыкания b’ между группами оказалась значительной (t(44)=2.51, p=0.016). Этот результат остался статистически неизменным и при группировке участников по IQ, и при исключении участников, которые принимали препараты. Также была исключена вероятность того, что различие между группами можно объяснить артефактами движения, потому что анализ с участием ковариаций движения показал такие же результаты.
Чтобы проверить, зависит ли отличие индекса привыкания b’ от типов изображений лиц, была создана модель вычисления b’ с участием всех типов изображений. В итоге было выяснено, что отличие индекса привыкания b’ между группами остается значительным, независимо от типа изображений лиц. Анализ взаимоотношений между мозгом участников и поведением участников (между индексом b’ нейронов миндалины и индексом b’ анализа поведения) не выявил каких-либо значительных корреляций.

Изображение 2. Индекс привыкания b’, время реакции, и величина активации миндалины у групп РАС (ASD) и КЗГ (HC). Отрицательное значение индекса b’ показывает привыкание.
Комментарии к исследованию:
В этом исследовании была проверена гипотеза о сниженном привыкании при РАС. Для этого был использован анализ активации нейронов миндалины, и анализ поведенческих реакций. В ходе исследования две группы участников выполняли задачу N-back на проверку памяти, и в качестве отвлечений им показывались изображения лиц с разными эмоциями. В результате исследования были вычислены индексы привыкания b’ по методике, которая использовалась и в других подобных исследованиях [17, 27].
Результат показал, что участники группы РАС дали такое же количество правильных ответов при выполнении задачи на проверку памяти, как и участники контрольной группы. При этом у участников группы РАС не проявилось такое же уменьшение времени реакции, как у участников контрольной группы, что указывает на сниженное привыкание. С помощью ФМРТ мы тоже зафиксировали измененную динамику активации нейронов миндалины у участников группы РАС, которая указывает на сниженное привыкание.
Важно то, что результаты этого исследования не обнаружили дефицитов памяти у людей с РАС. Это доказывает, что уменьшенное привыкание при РАС не является следствием общего ухудшения исполнительных функций. В других исследованиях этот вопрос тоже поднимался, но результаты оказывались противоречивыми. В некоторых исследованиях обнаруживались нарушения памяти у людей с РАС [41,42], а в некоторых не обнаруживалось никаких нарушений [43,44]. Скорее всего, это зависит от характеристик используемой задачи [45,46].
Теперь о возможных объяснениях того, почему у людей с РАС снижено привыкание в нейронах миндалины.
Известно, что привыкание в нейронах миндалины снижается, если раздражители особенно заметны и интенсивны [20]. Исходя из этого, можно сделать предположение о том, что люди с РАС воспринимают раздражители как более заметные и интенсивные. Это может быть связано с особенностью восприятия при РАС, которая ориентирована на детали. Об этом говорится в «теории слабой центральной согласованности» [47,48]. Люди с РАС больше сосредоточены на различиях раздражителей, вместо того, чтобы воспринимать раздражители как принадлежащие к одной категории. Они воспринимают каждый раздражитель как новый и требующий внимания. Это препятствует привыканию.
Есть другое объяснение сниженного привыкания, хотя и спекулятивное, в «теории предсказательного кодирования». В ней говорится о том, что воспринимаемый опыт человека зависит от знаний человека о мире. Благодаря своим знаниям человек создает “предсказания”, или “приоритеты”. Когда реальность отличается от предсказаний, то человеку становятся видны ошибки в знаниях, и запускается процесс формирования более оптимальных приоритетов [50]. У людей с РАС приоритеты могут быть более ослабленными, или более сильными, что приводит для них к более неожиданной изменчивости опыта [49,50].
Например, в ходе этого исследования участники контрольной группы могли ожидать, что лица не имеют отношения к выполняемой задаче. Поэтому они могли лучше отфильтровывать их. А группа участников с РАС, возможно, не смогла сформировать такие же точные приоритеты.
Со стороны недостаточное привыкание в нейронах миндалины может проявляться, как трудности в восприятии и интерпретации социальной информации, и трудности в дифференциации между важной и неважной информацией [25]. Всё это можно увидеть у людей с РАС. Недостаточное привыкание в нейронах миндалины может способствовать избеганию социальных взаимодействий, и в итоге это приводит к атипичному развитию структур мозга, участвующих в социальном восприятии.
У людей с РАС может возникать социальная тревожность из-за незнания социальных ситуаций и из-за высокой степени их непредсказуемости для них. Было доказано, что стресс вызывает повышенную чувствительность миндалины и снижает привыкание [51]. В другом эксперименте было доказано, что у людей с РАС увеличивается социальная тревожность, когда их внимание отвлекается лицами, находящимися на периферии [52]. Из-за недостаточности их предсказательных способностей, люди с РАС воспринимают мир как более непредсказуемый, опасный, и подавляющий. Это объясняет типичные особенности аутичных людей, такие как стремление к однообразию, сенсорная чувствительность, и трудности с «теорией разума» / с предсказанием мыслей других людей [53].
Это подтверждается и другими исследованиями у людей с РАС. Ключевым фактором привыкания является предсказуемость повторяющихся стимулов [53]. Например, Гуирауд и др. обнаружили, что группа младенцев, у которых с высокой вероятностью есть РАС, показала пониженное нейронное привыкание к повторяющимся звукам по сравнению с контрольной группой младенцев [54].
Механизмы, лежащие в основе недостаточности предсказания у людей с РАС, до сих пор неясны, но теория «предсказательного кодирования» может являться возможным, хотя и спекулятивным объяснением недостаточного привыкания у людей с РАС.
Еще одно возможное объяснение — это отличие в геббианском (ассоциативном) обучении между мозгом аутичных людей и мозгом нейротипичных людей. Геббианские алгоритмы описывают обучение в нейронной сети, которое происходит спонтанно, без какой-либо задачи или попытки чему-либо научиться [55]. («Вещи, которые происходят вместе, соединяются вместе»).
Выводы нашего исследования о недостаточном привыкании у людей с РАС в целом соответствуют выводам предыдущих исследований. Раньше другие исследователи, чтобы измерить привыкание, сравнивали степень активации миндалины в первой половине эксперимента и во второй половине. Например, в последнем исследовании Клайнхенс и др. было выявлено, что у группы с РАС происходит увеличение активации миндалины при показе им лиц, выражающих страх, в то время как у группы КЗГ происходит ожидаемое снижение активации. Но в их более раннем исследовании Клайнхенс и др. выявили, что активация миндалины снижалась нормально при показе изображений нейтральных лиц контрольной группе, и снижалась более медленно у группы с РАС. Когда у этих исследователей попросили объяснить, почему эти два их исследования противоречат, то они объяснили это тем, что в их последнем исследовании было применено более короткое время показа изображений (23 мс), поэтому в начале эксперимента миндалина участников с РАС активизировалась меньше, и это можно объяснить более медленной обработкой информации при РАС.
В нашем исследовании время отображения составляло 1.5 секунд, что должно было гарантировать всем участникам достаточное время для обработки. Это подтверждается тем, что когда мы проанализировали данные нашего исследования, то не увидели различий между участниками в активации нейронов обработки лиц.
Другой возможной ошибкой предыдущих исследований можно считать то, что когда лица используются как часть задачи, то они меньше влияют на привыкание. По определению, привыкание — это уменьшение активации при появлении несущественных и неважных стимулов. Поэтому в нашем исследовании участники выполняли задачу 2-back на проверку памяти, и во время этого им показывались изображения лиц, как отвлекающие раздражители. Из всех предыдущих исследований этой темы только одно обладало похожим подходом. В нём участники должны были реагировать на положение крестика, а не на лица.
В нашем исследовании использовались изображения лиц со счастливыми, сердитыми, и нейтральными выражениями. В результате мы не нашли значительного соответствия между параметрами участников и выражениями лиц. Это подтверждает гипотезу о том, что динамика активации миндалины не зависит от эмоционального выражения лица. Хотя миндалина реагирует на все визуальные стимулы, но она сильнее реагирует на лица, и это показывает её важную роль в распознавании лиц [6, 7]. Есть доказательства того, что миндалина является частью нейронной сети для распознавания лиц, которая играет ключевую роль при обработке выражений лиц и подобной социальной информации в мозге человека.
Другие исследователи, например Клайнхенс и др., тоже нашли доказательства того, что параметры нетипичной динамики у людей с РАС одинаковы и для нейтральных лиц, и для лиц с эмоциями. Шварц и др. тоже включали в свое исследование лица, выражающие разные эмоции, и их исследование лишь частично совпадает с нашими результатами. Они обнаружили, что у детей с РАС, в отличии от контрольной группы, не было привыкания к грустным и нейтральным лицам, и при этом у обеих групп не было привыкания к напуганным и счастливым лицам. Результаты нашего исследования показывают, что если изображения лиц отображаются как несущественные для задачи раздражители, то их эмоциональное содержание не оказывает значительного влияния. Важно то, что наше исследование не демонстрирует, что миндалина у людей с РАС демонстрирует недостаток привыкания только для изображений в виде лиц. Возможно, в будущих исследованиях будут участвовать и другие категории изображений. Кроме того, осталась неясной связь между привыканием нейронов миндалины и поведенческим привыканием.
В нашем исследовании впервые был применен регрессионный анализ с корректировкой начальной амплитуды [17, 27]. Плихте и др. утверждали ранее, что сравнение значений активации миндалины может быть упрощением, и может не очень точно описывать привыкание. Они обнаружили, что у расчета индекса привыкания надежность выше, чем у стандартного сравнения значений отклика. Поэтому мы тоже использовали индекс b’ для расчета привыкания.
Рассматривая выводы нашего исследования, нужно учитывать некоторые важные ограничения. Во-первых, устройство нашего эксперимента с псевдослучайным порядком изображений лиц может накладывать ограничения на анализ привыкания для лиц с конкретными эмоциями. Но наше исследование было мотивировано другими исследованиями, такими как Плихте и др., которые тоже применяли подобное устройство [3, 24, 25]. Будущим исследованиям может помочь устройство с записью всех событий, потому что это позволит им проанализировать более подробную картину привыкания и связанных с ним явлений, таких как подавление при повторениях [58].
Более того, устройство нашего эксперимента не может продемонстрировать, что недостаточное привыкание при РАС возникает только при показе изображений лиц. Также это устройство эксперимента не подходит для того, чтобы подтвердить или опровергнуть теорию прогнозирующего кодирования.
Во-вторых, набор участников с РАС через специализированную клинику и местные группы, возможно, привел к предвзятости в процессе выбора. Кроме того, наши участники были немного старше, чем в других исследованиях на тему РАС.
В-третьих, мы не производили отслеживание движений глаз. Возможно, на движения глаз мог повлиять тот факт, что раздражители в виде изображений лиц были несущественны для выполняемой задачи. Но мы измерили активацию нейронов, которые отвечают за распознавание лиц, и не нашли в этом различий между участниками. Поэтому мы считаем, что этот недостаток не оказал большого значения.
В-четвертых, движения головы могут быть возможным фактором при исследованиях ФМРТ. Но для устранения этого фактора мы провели анализ с использованием дополнительных параметров движения как ковариаций.
Также важно и то, что в отличие от других предыдущих исследований [3, 24, 25], мы не обнаружили никакой связи между индексом привыкания и клиническими показателями людей с РАС, включая результаты теста AQ. Поэтому необходимы дальнейшие исследования, чтобы понять, существует ли связь между отличием привыкания и различными симптомами аутизма.
Итог: В этом исследовании представлены доказательства отличающегося привыкания у людей с РАС на уровне активации нейронов миндалины и на уровне поведенческих реакций. Для того, чтобы лучше понимать, как сниженное привыкание у людей с РАС влияет на их отличия в восприятии и на социальные дефициты, требуется более глубокое понимание механизмов, лежащих в основе этих процессов.
ССЫЛКИ:
1. American Psychiatric Association. Diagnostic And Statistical Manual Of Mental Disorders (5th ed.). (American Psychiatric Publishing, Arlington, USA, 2013).
2. Kennedy, D. P. & Adolphs, R. Perception of emotions from facial expressions in high-functioning adults with autism. Neuropsychologia 50, 3313–3319 (2012).
3. Kleinhans, N. M. et al. Reduced neural habituation in the amygdala and social impairments in autism spectrum disorders. Am. J. Psychiat. 166, 467–475 (2009).
4. Baron-Cohen, S. et al. The amygdala theory of autism. Neurosci. Biobehav. Rev. 24, 355–364 (2000).
5. Phelps, E. A. & LeDoux, J. E. Contributions of the amygdala to emotion processing: from animal models to human behavior. Neuron 48, 175–187 (2005).
6. Sergerie, K., Chochol, C. & Armony, J. L. The role of the amygdala in emotional processing: a quantitative meta-analysis of functional neuroimaging studies. Neurosci. Biobehav. Rev. 32, 811–830 (2008).
7. Hariri, A. R., Tessitore, A., Mattay, V. S., Fera, F. & Weinberger, D. R. The amygdala response to emotional stimuli: a comparison of faces and scenes. Neuroimage 17, 317–323 (2002).
8. Haxby, J. V., Hoffman, E. A. & Gobbini, M. I. The distributed human neural system for face perception. Trends Cogn. Sci. 4, 223–233 (2000).
9. Schultz, R. T. Developmental deficits in social perception in autism: the role of the amygdala and fusiform face area. Int. J. Dev. Neurosci. 23, 125–141 (2005).
10. Wiggins, J. L., Swartz, J. R., Martin, D. M., Lord, C. & Monk, C. S. Serotonin transporter genotype impacts amygdala habituation in youth with autism spectrum disorders. Soc. Cogn. Affect. Neurosci. 9, 832–838 (2014).
11. Baron-Cohen, S. et al. Social intelligence in the normal and autistic brain: an fMRI study. Eur. J. Neurosci. 11, 1891–1898 (1999).
12. Hadjikhani, N., Joseph, R. M., Snyder, J. & Tager-Flusberg, H. Abnormal activation of the social brain during face perception in autism. Hum. Brain Mapp. 28, 441–449 (2007).
13. Monk, C. S. et al. Neural circuitry of emotional face processing in autism spectrum disorders. J. Psychiatry Neurosci. 35, 105–114 (2010).
14. Weng, S.-J. et al. Neural activation to emotional faces in adolescents with autism spectrum disorders. J. Child Psychol. Psychiatry 52, 296–305 (2011).
15. Pierce, K., Haist, F., Sedaghat, F. & Courchesne, E. The brain response to personally familiar faces in autism: findings of fusiform activity and beyond. Brain 127, 2703–2716 (2004).
16. Pierce, K., Müller, R.-A., Ambrose, J., Allen, G. & Courchesne, E. Face processing occurs outside the fusiform ‘face area’ in autism: evidence from functional MRI. Brain 124, 2059–2073 (2001).
17. Plichta, M. M. et al. Amygdala habituation: a reliable fMRI phenotype. Neuroimage 103, 383–390 (2014).
18. Phillips, M. L. et al. Time courses of left and right amygdalar responses to fearful facial expressions. Hum. Brain Mapp. 12, 193–202 (2001).
19. Thompson, R. F. & Spencer, W. A. Habituation: a model phenomenon for the study of neuronal substrates of behavior. Psychol. Rev. 73, 16–43 (1966).
20. Rankin, C. H. et al. Habituation revisited: an updated and revised description of the behavioral characteristics of habituation. Neurobiol. Learn. Mem. 92, 135–138 (2009).
21. Ramaswami, M. Network plasticity in adaptive filtering and behavioral habituation. Neuron 82, 1216–1229 (2014).
22. Breiter, H. C. et al. Response and habituation of the human amygdala during visual processing of facial expression. Neuron 17, 875–887 (1996).
23. Wedig, M. M., Rauch, S. L., Albert, M. S. & Wright, C. I. Differential amygdala habituation to neutral faces in young and elderly adults. Neurosci. Lett. 385, 114–119 (2005).
24. Swartz, J. R., Wiggins, J. L., Carrasco, M., Lord, C. & Monk, C. S. Amygdala habituation and prefrontal functional connectivity in youth with autism spectrum disorders. J. Am. Acad. Child Adolesc. Psychiatry 52, 84–93 (2013).
25. Kleinhans, N. M., Richards, T., Greenson, J., Dawson, G. & Aylward, E. Altered dynamics of the fMRI response to faces in individuals with autism. J. Autism Dev. Disord. 46, 232–241 (2016).
26. Ladouceur, C. D. et al. Fearful faces influence attentional control processes in anxious youth and adults. Emotion 9, 855–864 (2009).
27. Montagu, J. D. Habituation of the psycho-galvanic reflex during serial tests. J. Psychosom. Res. 7, 199–214 (1963).
28. Harris, P. A. et al. Research electronic data capture (REDCap)–a metadata-driven methodology and workflow process for providing translational research informatics support. J. Biomed. Inform. 42, 377–381 (2009).
29. Baron-Cohen, S., Wheelwright, S., Skinner, R., Martin, J. & Clubley, E. The autism-spectrum quotient (AQ): evidence from Asperger syndrome/high-functioning autism, males and females, scientists and mathematicians. J. Autism Dev. Disord. 31, 5–17 (2001).
30. Baron-Cohen, S. & Wheelwright, S. The empathy quotient: an investigation of adults with Asperger syndrome or high functioning autism, and normal sex differences. J. Autism Dev. Disord. 34, 163–175 (2004).
31. Baron-Cohen, S., Richler, J., Bisarya, D., Gurunathan, N. & Wheelwright, S. The systemizing quotient: an investigation of adults with Asperger syndrome or high-functioning autism, and normal sex differences. Philos. Trans. R. Soc. Lond. B. Biol. Sci. 358, 361–374 (2003).
32. von Aster, M., Neubauer, A. & Horn, R. WIE — Wechsler Intelligenztest Für Erwachsene. (Huber, Bern, Switzerland, 2006).
33. Donnell, A. J., Pliskin, N., Holdnack, J., Axelrod, B. & Randolph, C. Rapidly-administered short forms of the Wechsler Adult Intelligence Scale-3rd edition. Arch. Clin. Neuropsychol. 22, 917–924 (2007).
34. Lundqvist, D., Flykt, A. & Öhman, A. The Karolinska directed emotional faces (KDEF). (CD ROM from Department of Clinical Neuroscience, Psychology section, Karolinska Institutet, 1998).
35. Gorgolewski, K. et al. Nipype: a flexible, lightweight and extensible neuroimaging data processing framework in Python. Front. Neuroinformatics 5, https://doi.org/10.3389/fninf.2011.00013 (2011).
36. Ashburner, J. A fast diffeomorphic image registration algorithm. Neuroimage 38, 95–113 (2007).
37. Roche, A. A four-dimensional registration algorithm with application to joint correction of motion and slice timing in fMRI. IEEE Trans. Med. Imaging 30, 1546–1554 (2011).
38. Tzourio-Mazoyer, N. et al. Automated anatomical labeling of activations in SPM using a macroscopic anatomical parcellation of the MNI MRI single-subject brain. Neuroimage 15, 273–289 (2002).
39. Brett, M., Anton, J., Valabregue, R. & Poline, J. Region of interest analysis using the MarsBar toolbox for SPM 99. Neuroimage 16, S497 (2002).
40. Avery, S. N., VanDerKlok, R. M., Heckers, S. & Blackford, J. U. Impaired face recognition is associated with social inhibition. Psychiatry Res. 236, 53–57 (2016).
41. Chen, S.-F. et al. Deficits in executive functions among youths with autism spectrum disorders: an age-stratified analysis. Psychol. Med. 46, 1625–1638 (2016).
42. Fried, R. et al. A study of the neuropsychological correlates in adults with high functioning autism spectrum disorders. Acta Neuropsychiatr. 28, 286–295 (2016).
43. Koshino, H. et al. Functional connectivity in an fMRI working memory task in high-functioning autism. Neuroimage 24, 810–821 (2005).
44. Ozonoff, S. & Strayer, D. L. Further evidence of intact working memory in autism. J. Autism Dev. Disord. 31, 257–263 (2001).
45. Nakahachi, T. et al. Discrepancy of performance among working memory-related tasks in autism spectrum disorders was caused by task characteristics, apart from working memory, which could interfere with task execution. Psychiatry Clin. Neurosci. 60, 312–318 (2006).
46. Williams, D. L., Goldstein, G., Carpenter, P. A. & Minshew, N. J. Verbal and spatial working memory in autism. J. Autism Dev. Disord. 35, 747–756 (2005).
47. Happé, F. & Frith, U. The weak coherence account: detail-focused cognitive style in autism spectrum disorders. J. Autism Dev. Disord. 36, 5–25 (2006).
48. Chan, J. S. & Naumer, M. J. Explaining autism spectrum disorders: central coherence vs. predictive coding theories. J. Neurophysiol. 112, 2669–2671 (2014).
49. Pellicano, E. & Burr, D. When the world becomes ‘too real’: a Bayesian explanation of autistic perception. Trends Cogn. Sci. 16, 504–510 (2012).
50. Cruys, S. V., de, de-Wit, L., Evers, K., Boets, B. & Wagemans, J. Weak priors versus overfitting of predictions in autism: reply to Pellicano and Burr (TICS, 2012). Iperception 4, 95–97 (2013).
51. van Marle, H. J. F., Hermans, E. J., Qin, S. & Fernández, G. From specificity to sensitivity: how acute stress affects amygdala processing of biologically salient stimuli. Biol. Psychiatry 66, 649–655 (2009).
52. Herrington, J. D. et al. Negative valence in autism spectrum disorder: the relationship between amygdala activity, selective attention, and co-occurring anxiety. Biol. Psychiatry Cogn. Neurosci. Neuroimaging, https://doi.org/10.1016/j.bpsc.2017.03.009 (2017).
53. Sinha, P. et al. Autism as a disorder of prediction. Proc. Natl. Acad. Sci. USA 111, 15220–15225 (2014).
54. Guiraud, J. A. et al. Differential habituation to repeated sounds in infants at high risk for autism. Neuroreport 22, 845–849 (2011).
55. Munakata, Y. & Pfaffly, J. Hebbian learning and development. Dev. Sci. 7, 141–148 (2004).
56. Ishai, A. Let’s face it: it’s a cortical network. Neuroimage 40, 415–419 (2008).
57. Skelly, L. R. & Decety, J. Passive and motivated perception of emotional faces: qualitative and quantitative changes in the face processing network. PLOS ONE 7, https://doi.org/10.1371/journal.pone.0040371 (2012).
58. Nordt, M., Hoehl, S. & Weigelt, S. The use of repetition suppression paradigms in developmental cognitive neuroscience. Cortex 80, 61–75 (2016).
_____________
На русский язык переведено специально для проекта Нейроразнообразие в России.